中华全国归国华侨联合会>>建党百年专题>>百年侨心
许包野:从哲学博士到机智“保尔”
2021年05月18日10:26  来源:中国侨联

南京雨花台是新民主主义革命时期中国共产党人最集中的殉难地之一,这其中也有一群侨界共产党员。他们中有的是世界一流名校的学界翘楚,有的在莫斯科经受洗礼锻造成优秀的共产主义战士,有的流亡海外不懈探寻救国良方和救民道路,有的怀揣爱国情怀远渡重洋寻找理想的真谛。

许包野

1900-1935

许包野(1900-1935),又名许鸿藻,广东澄海人,出生于泰国华侨家庭。1920年起先后赴法国、德国、奥地利留学,获哲学博士学位。1923年由朱德介绍加入中国共产党,参加中共旅欧支部。1926年到莫斯科东方大学任教。1931年九一八事变后回国,1932年5月任中共厦门中心市委巡视员,10月任中共厦门中心市委书记。1934年7月任中共江苏省委书记,同年10月任中共河南省委书记。1935年2月在河南开封被捕,解来南京,不久牺牲。

从哲学博士到机智“保尔”

上个世纪二十年代初期在法国建立的中国共产党旅欧支部,在其短短几年的光辉历程中,曾培养和造就了一大批出类拔萃的革命人才,为开创党的事业做出了卓越贡献。许包野,这位雨花英烈中知识精英的代表,就是当年中共旅欧支部的成员之一。许包野在欧洲学习、工作达11年之久,由一名爱国青年成长为坚强的共产主义战士。回国后,他先后担任中共江苏省委书记、河南省委书记,在那个需要鲜血与生命守护信仰的年代,以彻底的自觉和豪迈,以身殉“道”,谱写了最为壮丽的共产主义理想之歌。

1900年5月31日,许包野出生于暹罗(今泰国)华富里一位侨商家里。父亲许锡昌,自小离家赴暹谋生,是一个思想开朗、热爱祖国、热爱故乡的华侨。许包野 7岁时回国随父母回国,先在家乡念私塾,11岁进县城县立凤山小学,15岁进澄海县立中学,因勤奋又聪颖,考试常名列前茅。平时爱读古书,孔子、老子、墨子等先秦诸子的著作,他都啃过;《水浒传》《三国演义》《西游记》,他也潜心进行研究。17岁那年,母亲逝世,父亲按家乡“娶孝妇”的习俗,给他物色了一位名叫叶巧珍的农村姑娘为妻。婚后,他给妻子改名叫叶雁萍。

许包野与弟弟许泽藻的合影

1919年上半年,许包野中学毕业。在五四新文化运动的影响下,1919年冬,他抱着“输世界文明于国内”“造成新社会、新国民”的思想和成为一名“研究高深学问”的学者志向,参加蔡元培为会长的“华法教育会”组织的赴法官费留学招生考试,以广东第三名的优异成绩被录取。

1920年4月,他辞别故乡,前往法国里昂中法大学攻读哲学和法律。

里昂,位于法国东南部,长期为法国政治中心。里昂中法大学坐落在里昂富尔的维耶尔山丘上,校园由一座昔日的军事要塞改造而成,环境清幽。初来乍到,老牌资本主义法国的工业、科技水平令许包野赞叹,但贫富悬殊的社会现实和激烈的劳资对立更令他震惊。里昂,作为法国主要的工业城市之一,工人罢工的事时有发生。西方资本主义文明在他心目中曾经所拥有的光环一天天变得暗淡。法国严重的经济危机,很快也打乱了他原来的留学计划。

这年冬,他写信给暹罗的父亲,表示法国社会动荡,法郎贬值,生活费用太高,而德国的生活费用较低,科学较发达,打算转到德国留学,要求寄2000块银元,作为转学的准备。父亲经过设法筹措,满足了他的要求。

1920年,许包野在法国写给父母的信

1921年,许包野从法国转到德国的哥廷根,进入格奥尔格——奥古斯特大学继续学哲学,并学习军事学。

哥廷根位于德国中部,是著名的大学城,城市很小,当时人口只有四万人。格奥尔格——奥古斯特大学,培养了许多知名的学者,当时有40多名中国留学生在此学习。

1923年春,许包野在一次中国留学生聚会中,结识了宽厚和蔼,有兄长风范的朱德。当时朱德已由周恩来介绍在柏林加入中国共产党。在朱德的关心影响下,许包野结合专业大量研读马克思主义书籍。观照资本主义制度下德国的社会现实,许包野摆脱改良主义的束缚,认识到西方资本主义文明救不了中国,逐步建立起对马克思主义的敬仰,认定只有社会主义才能救中国。不久,许包野在朱德的介绍下,加入中国共产党,成为中共旅欧支部的一名成员。

当时,在哥廷根的中共旅欧支部的党员,每星期三在朱德的主持下召开一次会议。开会的地点,有时在哥廷根郊区,有时就在哥廷根朱德的住处。大家一起学习研读马克思的《共产党宣言》、恩格斯的《社会主义从空想到科学的发展》、列宁的《帝国主义是资本主义的最高阶段》、梅林的《唯物史观》、布哈林的《共产主义ABC》等著作,还就《向导》《国际通讯》等刊物上登载的有关中国革命的文章进行讨论。通过这些学习活动,许包野的政治视野日益开阔,革命的理想信念更加坚定。

1925年1月3日,在改组后的中国国民党驻德支部召开的常年大会上,朱德当选为执行委员,分工负责组织工作。朱德离开哥廷根,回到柏林,专门从事党务活动,朱德还主持创办了《明星》刊物,向留学生宣传新三民主义和国共合作的政策,许包野配合朱德做了许多这方面的工作。

1925年6月,五卅运动的消息传到德国。中共旅欧支部立即动员全体党员,全力以赴,组织广大旅欧华人,反对帝国主义镇压中国革命,声援国内五卅运动。许包野响应号召,积极投入运动。他在朱德的带领下,同旅德的中共党员,到一些城市和工业区讲演,组织中国留学生和侨民举行示威集会。“五卅惨案”的发生,也得到了德国人民的强烈同情。德国共产党组织支持中国的活动前后延续了一个来月。6月18日晚,德共在柏林市立陶乐珊中学的广场上组织演讲会,声援中国、南非和保加利亚人民的革命斗争。朱德带领在柏林的一些中国留学生应邀参加集会。数千名来自许多国家的留学生集结在广场上,不少人走上讲台发表演说。尽管当时下起了大雨,但是整个会场的气氛却十分热烈。当集会就要结束时,柏林警察当局突然出动大批警察冲入会场,朱德、许包野等20多人遭到逮捕,被押上敞篷汽车,关进亚历山大广场旁的警察监狱,被带到牢房的第三层,一人一间被单独监禁。

1923年10月许包野(后排右二)与朱德(前排右三)等人在德国哥廷根的合影

第二天,德国共产党机关报《红旗》就此事刊发了声明,向执政的社会民主党提出强烈抗议。在强大的政治压力之下,朱德、许包野等中国留学生三天后被释放,但同时,他们也被德国政府驱逐出境。

1925年7月,在中共旅欧支部的安排下,朱德离开柏林,乘船前往苏联。许包野来到奥地利的维也纳,继续学哲学。离开时,他已经获得博士学位。

1926年下半年,许包野抵达向往已久的十月革命圣地——苏联,来到急需东方教师的莫斯科东方劳动者共产主义大学任教,向中共派往苏联学习革命之道的留学生传授马列主义理论。他把从德国学到的马克思主义哲学毫无保留地传授给学生们,影响了一大批青年学子的人生观和世界观。这些留学生大多是共产党员,许多人后来成了中国革命的骨干。在许包野的学生中,有后来成为江苏省委组织部长的黄励,宣传部长的陈原道。许包野学识渊博,精通德、法、奥、俄等多国语言。在苏联的5年时间里,他还兼任过莫斯科市的地方法官,不遗余力地为国际共产主义运动贡献自己的智慧。他在莫斯科时一直使用俄文名字:保尔。

1931年1月,共产国际派许包野回国工作,他从苏联的西伯利亚经黑龙江秘密回国。

许包野一踏进国门,就被国民党特务监视、跟踪。为了摆脱敌特的盯梢,许包野绕道新加坡,几经周折,终于回到了阔别多年的故乡。许包野踏进家门时,日夜思念他的家人特别是妻子惊喜万分。当年那个带有乡土气息、略显稚嫩的中学生,现在已经成为仪表堂堂、风度翩翩的洋博士了。但许包野只在家里住了10天,当他得悉二弟许泽藻在厦门搞地下工作时(注:许泽藻当时化名许依华,任中共厦门中心市委常委兼宣传部长),因急要同党中央联系,便匆匆辞别亲人奔赴厦门。为瞒过敌人耳目,他在香港停留了一个多月,才化装成海员乘船到新加坡,再从新加坡到达厦门。

许包野回国时不能随身携带组织介绍信,只记下共产国际同中共中央约好的联络暗号,所以,他虽在厦门找到了党组织,却没有正式组织关系。直到厦门中心市委把许包野写的回国详情报告党中央之后,党中央才把许包野的组织关系转到厦门。在这之前,许包野以一个普通党员的身份,服从中心市委的工作安排。他接受中心市委派遣,巡视安溪。他认真听取安溪县委汇报,帮助整顿游击队,帮助建立农会、赤卫队和少先队等组织。在厦门,他化名阿宝、宝霞。

1932年8月,厦门中心市委书记王海平不幸被捕牺牲;9月,代理市委书记的许泽藻也遭逮捕,不久牺牲。10月,党中央任命许包野为中共厦门中心市委书记,从此,他挑起领导厦门和闽南十几个县开展革命斗争的重任。

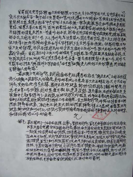
1934年5月31日,许包野写给党中央的信

在极为艰险复杂的白区斗争环境中,许包野领导党的组织坚持地下革命斗争,恢复和发展了所属县、区的地下党组织。在许包野的领导下,厦门中心市委及各县党组织,领导工人建立失业工人委员会,动员工人和闽南农民赤卫队员参加游击队,领导和发动农民建立农民委员会、农民协会,开展土地革命,发起援助东北义勇军运动,进行抗日救国宣传,逐步开辟了新的工作局面。他十分重视党的宣传工作和理论建设,亲自领导厦门文化协会,秘密出版《发动机》《战斗》《群众报》等杂志和报纸,发挥着传播知识、鼓舞士气的作用,还把中共中央文件汇编成《革命丛书》,供党员、干部学习,提高党员的马列主义理论水平。

曾任厦门中心市委机要秘书的谢飞回忆,当时,许包野经常用潮汕话和她交谈,在学习和革命斗争中教育和鼓励她。谢飞还记得有一次,有个同志问:“为什么外国人能造出许多现代化的东西,我们中国为什么造不出来?” 许包野回答:“那是由于那些国家是资本主义制度,鼓励发展经济,生产发展了,资本家便可以获得利润。资本家为了得到更多利润,便要生产许多现代化的商品。而中国是个半殖民地、半封建的国家,经济落后。” 半个世纪过后,谢飞仍清晰地记得许包野对她讲过这样一段话:“中国人不笨,外国人做得到的,中国人也能做到。中国工业不发达是因为封建制度时间太长,尤其是受帝国主义侵略之后,中国更穷了,更显得落后了。革命成功后,中国经济、文化的发展会快起来。”

在许包野的出色领导下,厦门中心市委所属闽南地区10多个县、市的革命运动蓬勃发展,党员发展到近1000人,厦门地区的“反帝大同盟”“革命互济会”“赤色工会”等群众组织纷纷建立,漳州、泉州、安溪的游击队都有了很大的发展。

1934年7月,因中共江苏省委连遭国民党当局破坏,中共中央决定将许包野调任中共江苏省委书记,组建新的省委领导班子。当时上海地下斗争形势十分严峻,许包野到任后, 使用在苏联时曾使用过的名字“保尔”开展工作,采取“一个人只知道一个地方”的严密组织措施,积极组建党组织。不久,他就被叛徒盯住,敌人想方设法进行诱捕这个名为“保尔”的中共重要人物。许包野发现敌情后,机智沉着,勇敢果断地与敌人周旋,以其丰富的地下斗争经验,及时配合中共中央处决了叛徒老龚,纯洁了革命队伍,保护了革命同志,使重建的新省委很快恢复了组织活动。对国民党特务机关来说,“保尔”始终是一个谜团,直至他调离江苏省委,敌人最终也没能掌握他的行踪。

同年10月,中共河南省委遭到敌人破坏,党中央安排许包野担任河南省委书记。他到河南工作时,适逢中央红军开始长征,鄂豫皖革命根据地红军也开始西征,白区地下党的工作遇到更大的困难,斗争环境更加险恶,许包野不顾个人安危,每天早出晚归,为恢复发展党的力量,发展武装队伍和建立革命群众组织而四处奔走。

1935年2月,由于组织内部出现叛徒,许包野在河南郑州不幸被捕,随即被押解到南京国民党中央军人监狱。在各种刑具的折磨下,许包野始终坚贞不屈,视死如归,严守党的机密,保持了一个共产党人的崇高气节。不久,他在雨花台被敌人酷刑至死,时年35岁。

许包野为崇高的共产主义理想信念奉献了自己的生命,然而半个世纪却无人知晓。许包野的亲人、战友一直在寻找他的下落。许包野在厦门期间,妻子叶雁萍曾到厦门找过他,往后就再也没有许包野的音讯。20世纪80年代,在谢飞等革命老同志的关心下,在广东(澄海)、福建(厦门)、江苏、河南地方党史部门的共同努力下,辗转多地,多次化名的“许包野”终于有了下落。1987年3月,在烈士牺牲52年后,广东省人民政府批准追认许包野同志为革命烈士。遗憾的是,许包野烈士的遗孀叶雁萍老人没能等到这一天的到来,已于1985年12月27日去世了。为理想而献身的留德哲学博士——许包野的革命事迹在湮没了50多年后,得以在雨花台烈士纪念馆展出,向后人诉说当年的故事。

(责编:王燕华、刘婷婷)
X
 
Baidu
map